Regulamento das Provas

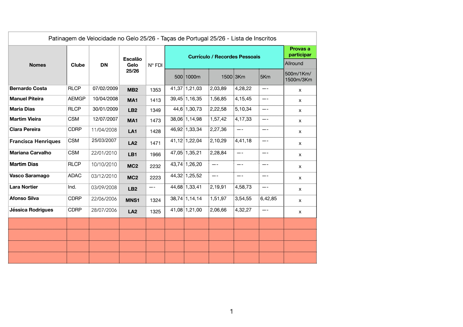
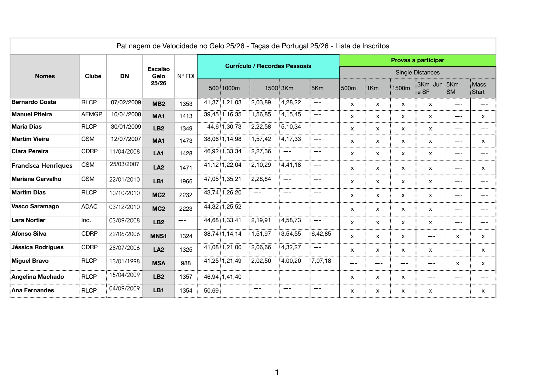
Listas de Inscritos

Classificações

Classificação de ALLROUND

Classsificação de SINGLE DISTANCE

INSCREVE-TE E PARTICIPA NA TPPVG-2025

Preencher o formulário de inscrição

O data limite para as inscrições é a 03-10-2025, pelas 23:59 e faltam apenas:

Dias
Horas
Minutos
Segundos
Inscrições encerradas.

    Taça de Portugal 2025 - Patinagem de Velocidade no Gelo
    De forma a facilitar o processo de inscrição na Taça de Portugal 2025 - Patinagem de Velocidade no Gelo, a FDI-Portugal disponibiliza um formulário on-line. Todos os campos são de preenchimento obrigatório, salvo indicação em contrario. Para esclarecimentos adicionais contacte a federação por e-mail ou telefone.

    Federado? SimNão

    Numero de Licença Desportiva:

    Nome:

    Nome do Encarregado de Educação:

    e-mail:

    Telemóvel:

    Prova:

    Feminino:
    Masculino:

    Clube:

    Privacidade e Protecção de Dados Pessoais -
    No preenchimento deste inquérito, lançado com o objetivo de avaliar a manifestação de interesse em participar nos Testes de Patinagem Artística no Gelo 2025, os dados pessoais são recolhidos e tratados no estrito cumprimento das normas e princípios de proteção de dados, tal como definidos no Regulamento Geral de Proteção de Dados - Regulamento (UE) 2016/679 do Parlamento Europeu e do Conselho, de 27.04.2016 (doravante "RGPD").
    A Federação de Desportos de inverno de Portugal, pessoa colectiva n.º 503006823, com sede na Rua Marquês d'Ávila e Bolama, 161, 3º piso, apartado 25, 6201-090 Covilhã, telefone (+351) 275314048 (doravante "FDI-Portugal"), actua como responsável pelo tratamento dos dados pessoais.
    Os dados pessoais recolhidos dizem respeito a representantes de entidades patrocinadoras e são tratados exclusivamente para efeitos de gestão de actividades sociais e eventos desportivos para a comunidade FDI-Portugal, com base no artigo 6(1)(e) do RGPD.
    Os titulares dos dados, através do contacto geral@fdiportugal.pt podem exercer os direitos de acesso, retificação, apagamento, limitação do tratamento, portabilidade dos dados, oposição e reclamação relacionados com este tratamento de dados pessoais.
    Os dados não serão transferidos ou transmitidos a qualquer outra entidade, sendo conservados apenas até à elaboração do relatório com o resultado da análise dos dados. Caso os dados sejam sujeitos a tratamento estatístico, serão objeto de anonimização.
    Sem prejuízo da comunicação direta à FDI-Portugal através dos contactos aqui disponibilizados, os titulares dos dados poderão dirigir-se diretamente à Comissão Nacional de Proteção de Dados (www.cnpd.pt), utilizando os contactos disponibilizados por esta entidade para o efeito.

    Ao efetuar o registo no evento Testes de Patinagem Artística no Gelo 2025, está a autorizar a cedência de direitos de imagem e/ou som à Federação de Desportos de Inverno de Portugal, permitindo assim a captação de imagens e/ou som, através de qualquer meio ou suporte, nas quais esteja presente. Cede ainda os direitos sobre as fotografias, imagens e som captados, em todos os espaços afetos à Federação de Desportos de Inverno de Portugal, para a promoção e comunicação das atividades desenvolvidas pela Federação de Desportos de Inverno de Portugal com o intuito de demonstrar, ao público em geral, a prossecução da sua missão e valores. Em conformidade, é também autorizada, a transmissão, reprodução, publicação, promoção e adaptação, nos meios e suportes que a Federação de Desportos de Inverno de Portugal entender por bem, da disponibilização das imagens e/ou som, bem como, conteúdos produzidos, designadamente para a comunicação social; website Federação de Desportos de Inverno de Portugal; redes sociais e profissionais; folhetos ou boletins de informação ou ação social em que a Federação de Desportos de Inverno de Portugal seja convidada a participar. Nos termos do Regulamento (EU) 2016/679 do Parlamento Europeu e do Conselho, bem como da Lei nº 58/2019, de 8 de Agosto, são-lhe garantidos os direitos constantes na informação que lhe foi cedida, designadamente, a possibilidade do titular dos direitos retirar, a qualquer momento, o seu consentimento para o tratamento dos dados pessoais, para as finalidades referidas, o que não invalida, no entanto, o tratamento dos mesmos efetuado até à data do evento, com base no consentimento dado.

    Declaro que tomei conhecimento dos estatutos da FDI-Portugal e que os dados acima apresentados são verdadeiros, qualquer incorreção e falsas declarações são da minha minha inteira responsabilidade.